Пространственная теория производительности: структура продукции. Нормирование труда как оно есть. Общее и частное в экономике. Есть ли в России проблема с производительностью
В данном материале рассматриваются общие и частные экономические показатели. Мы не только повторим утверждение Маркса, что производительность — это симбиоз ресурсов капиталиста и производительности рук наемного труда, но и даем формулу этой старой политэкономической истины:
ПW = ТУК × W. В СССР и сейчас для планирования производства применяется оперативное нормирование труда, однако развитие экономики предприятий, рабочих мест осуществляется в отрыве от нормирования на основе показателя сменная производительность, по формуле: ПS=
, заниженная на 60%. Рассматривается христианское утверждение о том, что всё суета сует. Делается вывод, что проповедь царя - Проповедника не о бесполезности трудов человеческих, а о человеческом факторе, где каждый он пыль, но мнит себя Космосом.

Рис.1, фото. Девочка Тазы играет на песчаном берегу волн часов времени
с камешками и ракушками прошлой жизни.
1.Структура продукции
Интенсивность создает количество
труда, а производительная сила
делит его на продукцию,
разного качества: N=L×ПС
Производительная сила труда ―красный
топор революция, она не любит слушать
«все мое», ее занятие ― рубить чужой
труд на части.
Девочка Тазы — бегущая собака
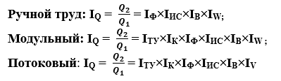
Труд человека и труд машин можно разделить на три вида: ручной труд, похож на копье Одиссея; модульный ручной труд на рыбацкую сеть апостола Павла; потоковый труд, подобен реке мертвых Стикс, лишенный производительной силы труда, поступков души человека. На протяжении двести лет было мнение воспринимать производство как процесс преобразования времени в продукцию: Q = Ф × S, это стало исходным для факторов производительности Маркса и для теории Тазы, только в формулу добавлен технический уровень труда и коэффициент плотности труда:
Q =ТУК× Ф ×В×W.[1]
[1] Над теорией производительности философа Маркса витает тень Фридриха Энгельса, который предложил ему идею факторов производительности: S=ИТ×ПС.
Таблица 1
Формулы продукции и производительности по основным видам труда автора

В итоге для модульного и потокового труда имеем формулу производительности фирмы или рабочего места ПW = ТУК×W, состоящую из ресурсов капиталиста и производительности наемного труда. Продукция по количеству переменных факторов по производственным исходам является многовариантной:
Q=ТУК×Тсм×В×W = ТУК×L×ПС.
Показатели формул [2]
[2] Тсм —продолжительность смены, 8,7,6 часов;
Ф1,Ф2 —месячный календарный фонд рабочего времени, плановый или фактический, с учетом потерь;
Q ― обьем продукции за смену, месяц;
W = V×ПС;—оперативная производительность рук человека (ручной труд);
S =В×W—сменная производительность рук человека (ручной труд);
В ― коэффициент плотности труда, как доля оперативного времени в общей продолжительности; смены (коэффициент К.Маркса);
ПW=ТУК×W —общая оперативная производительность предприятия, фирмы, рабочего места;
ПS = ТУК×В×W ―общая, сменная производительность фирмы, рабочего места;
ТУК — технический уровень труда, К —коэффициент его использования. ТУК предложен автором аспирантом УГГУ в 1984 формулы профессора А.В.Соловьева ПТ=ТУК ×(ИТ×ПС). Но оказалось, что это не поправка, а формулы новых, старых существующих видов труда ―модульные и потоковые;
ИТ=В×V―показатель интенсивность труда Маркса (1860);
ПС― производительная сила труда (показатель количества продукции или циклов на единицу труда);
V —скорость мускульных движений человека, метр/час;
L —количество труда за смену, месяц, L=Тсм×В×V, (по движениям труд абстрактная величина, хотя всегда конкретен, как полет пчелы).
2.Нормирование труда как оно есть
Изобретение нормирование труда—
величайшее достижение капитализма,
по эксплуатации и обману наемного труда.[3]
Тазы - собака
Нормирование труда — это раздел экономики об оперативном времени труда. Похоже на кулинарную книгу о полезном питании. Затраты полезного труда – это затраты оперативного времени на производство продукции. Центральное место в нормировании должен занимать коэффициент оперативной плотности труда Маркса.[4] Экономическая сущность нормирования состоит в разделении продолжительности смены на две части, на подготовительную, 35-40:% и оперативное, 60-65% а. Вторая часть — основная, производственная. Классическая формула нормирования в 1984 преобразована автором аспирантом в структурную формулу производительности Маркса[5] S=ИТ×ПС:( формула Маркса профессора А.В.Соловьев, 1967):

[3] Как экономическое направление нормирование возникло без теории. Это была идея, ― признать ряд трудовых действий капиталистов или государства бесплатными. Имеет исторические корни. При Петре всё время нахождения на работе признавалось трудом, производственным, единым, оплачиваемым, кроме перерывов на прием пищи и отдых. Сейчас же время смены бухгалтерия разделяется на две части: на бесплатные подготовительно-заключительные операции и производственную часть. Первую часть (35–40%) подготовительное время можно разделить на три вида затрат времени: 1) затраты времени рабочим лично на себя (отдых, личные надобности); 2) подготовка рабочего места капиталиста к работе; 3) потери рабочего времени, простои по самым разным причинам. Бесплатная подготовка рабочего места капиталиста к работе не имеет доказательства, что эта работа должна быть бесплатной. Здесь можно и поспорить, были исторические молчаливые споры (что считать началом труда) между Сталиным и капитализмом. Для России тогда и сейчас изменилось только, что при расстоянии более - равно одного км доставка на работу должна осуществляться работодателем. Например, геологоразведочные горнотехнические работы. В современном капитализме, работник должен выходить на работу в 8-00. В России за час или два. Норма оперативного времени, трудоемкость продукции — это отдельная тема. Были и есть разные методики ее определения, от Тейлора, Гильберта. С появлением Тазы, все как частное войдут в ее лоно, как ее дети. Еще раз, в нормировании нет доказательной теории, и, судя по всему, профессора времени в ней не нуждаются. Но как бы там, ни было, бесплатное оно или платное, оперативное время останется основным для всех времен человека, а подготовительное время — останется вспомогательным.
[4] Понятие «плотность труда, как доля полезного времени» принадлежит Марксу (1860). Относил к фактору интенсивности труда. Но это ошибка, «В» является коэффициентом, долей оперативного времени. В 2022 я предлагал назвать плотность труда коэффициентом Маркса.
[5] Формула производительности Маркса (1860) профессора политэкономии А.В.Соловьева (1967, КГТИ) является сменной производительностью, т.е. уменьшенная на коэффициент «В».
В нормировании труда нет научной теории Маркса - Тазы. по этой причине:
- Нормирование не имеет разделения планирования по видам труда;
- Является оперативной дисциплиной, а не имеет показателя плотность труда и оперативная производительность.
- Нет классификации видов труда и технического уровня. И не интересуются, на письмо автора руководители Института Нормирования даже не ответили;
Так можно продолжать, во времени нет развития, как копья движения.
Хотелось бы задать вопрос Министерству экономического развития: почему нормирование — наука оперативного времени, ее продукция считается оперативной, а производительность рассчитывается по сменной норме? Получается, что действительная производительность занижена на коэффициент плотности труда: S=В×W?
3.Общее и частное в экономике
Человеку удобней танцевать к частному
от общего, это он называет
любовью к философии.
Недостаток экономических диссертаций
в отсутствии деталей. Это говорит
о том, что у них нет науки, а есть диссертации.
Тазы
Общее поступает в экономику из прошлого, как речная галька на дробилку. Задержка в обработке материала 100 лет. Что было тогда, есть и сейчас. С эпохой Маркса современная экономика имеет один вид труда, прибавочную стоимость, сменную производительность. Виды труда различаются не по техническому уровню труда (ручной, модульный, потоковый), а по статистике вала: поштучные, серийные. Но, тем не менее, с развитием науки общее будет просеяно на части.
Мы не раз говорили, что сменная производительность является ложной, она занижена на 65%. Она похожа на среднюю температуру больных по больнице, не даёт представления о ситуации. Еще раз, сменная производительность это доля, а средняя температура по больнице — это частное на единицу общего. Продукция создается в оперативном времени, оперативного нормирования, а не общем времени смены.
4.Есть ли в России проблема с производительностью
Пятилетки ― это погоня зайца за
убегающей морковкой, догоняем то,
что уже имеем.
Тази
Ответ Минэкономразвития — проблема есть, и еще какая! Ответ Тази — проблемы с производительностью нет, с ней всё в порядке, растет как на дрожжах! Хотя о чем это я, даже если производительность упала, то это тоже хорошо! Вопрос к пространственной теории производительности: «Пятилетки в СССР и сейчас в России выглядят как проекты только по двум показателям: РОСТ ОБЪЕМА ПРОИЗВОДСТВА И РОСТ ПРОИЗВОДИТЕЛЬНОСТИ. Вопрос: должны ли они совпадать или могут быть разными? Ответ: могут быть равными, а могут быть и разными [16, с.75-76, таблица 5,6]. Два фактора (В, W) дают 13 вариантов выполнения плана (3 равно, 5 меньше, 5 больше), а три фактора (ТУК, В, W) — 51 вариант выполнения плана (13 равно, 19 больше, 19 меньше). И только один случай из 13, когда рост объема равен росту производительности. Формула оперативной производительности:

—она обобщающая, многофакторная. Более точно нужно вникать в ее содержание. Не только производительность рук рабочих W влияет на рост объема, влияют простои и ресурсы капиталиста Ф×В, ТУК. Главное, что есть рост объема, а за счет чего (ресурсов или W) — это детали. Если передовой рабочий поднимает знамя, то предприятие должно его подхватить! Гордиться своим Стахановым, заботиться о его семье, но не в ущерб, насилием гармонию сердца не создашь и не отдашь.

Индекс роста продукции это индекс целого, общего, а остальное его частное. Индекс, коэффициент это не целое, а отношение .Можно сформулировать правило: сменная производительности меньше оперативной на коэффициент плотности труда: IS=IВ×IW
Коэффициент роста объема продукции больше индекса оперативной производительности на индекс оперативного времени.

Производство процесс многофакторный, поэтому совпадение производительности очень редко:
Для сменной производительности совпадение: 
Индекс производительности может прыгать зайчиком в оперативном поле производства, главное есть продукция, — она действительность, а как там индекс производительности скачет, то это хор, сегодня он поет, а завтра другие: IQ = IФ× IВ×IW.
Тогда встает вопрос о цели пятилетних планов? До сих пор под целью пятилеток понималось только достижение определенной производительность
. Это оказалось ошибкой. Цель пятилеток задача комплексная — достигнуть определенный уровень всех факторов (ТУК, Ф, В, Ч), например, снижение фонда рабочего времени, установить определенный уровень ТУК, В, определенный уровень производительности человека W и ПW предприятия: Q=ТУК×Ф×Кис×В×W.
Еще раз: задача пятилеток является задачей комплексной. Провести ревизию, оценить состояние факторов производства: Q=ТУК×Ф×Ч×Кис×В×W.
Выявить направления, поднять технический уровень труда на новые уровни, ручного труда W и предприятия.
Основные виды труда и их фактор – индексы:

Еще раз: нужно твердо знать, что продукция — оперативная величина, так как создается в оперативное время, а сменная производительность — бумажный показатель, его не существует ни в природе, ни в теории. Пятилетки развития экономики на показателе сменная производительность — это разговоры ни о чем. Как можно планировать темп 5%, если он уже есть в 3%
Не можем поднять 5%, это значит не можем поднять 8,3% 
Пятилетки СССР — это погоня зайца за убегающей морковкой, догоняем то, что уже есть. Сменная бросает экономику в стагнацию циклов пятилеток, в среднем на 15 лет [13,с.181, Таблица 4 —Циклы сменной производительности].
Таблица 2
Данные Минэкономразвития о динамике роста сменной производительности труда (ПS) с 2018т. svpressa.ru. [6]

[6] Почему темп 5% так прочно закрепился в пятилетках СССР как потолок для страны? В действительности закрепился не 5%, а закрепилось невидимое 8,3%. 5% сменной производительности это 8,3% оперативной, разница между ними 65%, а это уже Космос ― заоблачная цифра.
В современном мире «ручной труд» перестал быть просто работой голых рук — сейчас он использует электрический и механический инструмент. Эти устройства можно рассматривать как малый технический уровень труда (ПW=ТУК×W). Они значительно уменьшают количество труда (L=Тсм×Кис×В×V) и затраты мускульной энергии за смену, делая ручной труд более эффективным по ПС и продуктивным по циклам. Спросите, чем отличается инопланетянин от нас, — он отличается малыми ручными ТУК. В одном НФ рассказе заключенный в тюрьму бомж (инопланетянин) достал из одежды прутик, который он взмахом превратил в инопланетную рапиру, вибрируя которой с огромной частотой, он бесшумно, как по маслу, вырезал в каменной стене тюрьмы дверь.
Вопрос: Должен ли индекс объема по годам совпадать с индексом сменной производительности? Редко, но может. Слишком много переменных индексов [16, с. 75-76], которые увеличивают количество варианты исходов, выполнено – не выполнено.
Таблица 3
Пример 1. Индекс роста объема производства совпадает с индексом сменной
производительности. Условие совпадения: 

Таблица 4
Пример 2. Индекс роста объема производства совпадает с индексом оперативной производительности. Условие совпадения:


Индекс объема и производительности формируется разными факторами, в модульном их восемь (ТУК, Ф, В, КИС,Ч ,V, ПС), а это заоблачное количество вариантов производственных исходов.
Таблица 5
Свод показателей ростра объема и производительности

Вывод: По представленным данным Минэкономразвития рост продукции совпадает с ростом производительности, по существующей модели расчета это так: 
5.Формула сменной производительности равна средней температуре больных по больнице [7]
Производительность пятилеток
Минэкономразвития похожа на
среднюю температуру больных в
больнице [8]
Президент В.В.Путин и Тазы
Сменная производительность — это доля, часть
а что выражает средняя температура по больнице? Рассмотрим на примере. Больница на 200 работающих коек разного профиля. Наполняемость коек 100%. В месяц выписывают 200 больных. Температурное отделение на 50 коек (терапия + педиатрия). Температура их поступающих больных на начало месяца 400 . По формуле:
— получим, среднюю температуру по больнице на первое число каждого месяца, она равна температуре здоровых людей — 37,75 0. Получается, что средняя не является объективным показателем. Нельзя частное делить на общее:
— это температура мертвых, правильно:
где 0,3 — доля коек температурного отделения. Продукция и производительность — это оперативные величины, так как создаются в оперативном времени. Сменная производительность ( ПS = В×W) занижена на 60%, а средняя температура по больнице равна температуре здоровых людей 
В обоих случаях они далеки от действительности. Еще раз, сменная производительность это доля, а температура средняя, доля хуже средне судьбы.
6. Слова Экклезиаста: Всё суета
Слова Екклесиаста, сына Давидова, царя в Иерусалиме.
Суета сует, сказал Екклесиаст, суета сует, – всё суета!
Что пользы человеку от всех трудов его, которыми трудится
он под солнцем? «
Что было, то и будет; и что делалось, то и будет делаться,
и нет ничего нового под солнцем.
Ветхий Завет
В первой части мы рассматриваем слова Экклезиаста в контексте нашей статьи о частном на фоне общего. Рассуждения великого Экклезиаста, сына Давидова, царя в Иерусалиме, — это ретроспектива [9] личного опыта через призму общего. Дела наши, труды наши — это даже не средние, а доля трудов наших. А судьба трудов наших — это температура мертвых. Со временем и доля прошлого уменьшается, отодвигается, забывается, превращается в песок, остается камешками или ракушками от нашей жизни. Но как бы там, ни было действительное — это результаты, маяки, а прочее — это психология.
Истинные слова Экклезиаста, царя в Иерусалиме, по нашему мнению, это слова огорчения и печали, что нет бесплатному добру царя благодарности, нет и памяти, за его деяния сердца. На добро смотрят как на слабость царя а не на силу. А у того, кто зарабатывает себе на жизнь в царстве царя трудом своим (наемному труду), — свое мнение, как огорчение. У него нет памяти о делах и трудах своих за кусок хлеба.
[7] Всё можно ожидать, но то, что сменная производительность равна средней температуре по больнице? Это называется «бабушка приехала», кодовая фраза телеграфом в фильме «В августе 44-го» цель фронтовой операции достигла своей цели — агентура обезврежена. Да и цель появления Тазы также достигнута, снять с человечества колдовство. Хотя, о чем я это говорю как радиолюбитель. Все серьезные радиосвязи, за которыми стоит государство, состоят из кодовых цифр и букв, как 73 — конец радиосвязи, наилучшие пожелания. Или как в фильме «В августе 44-го» радист : «Я вас не понял? Я вас не понял? В трехзначном Q - коде это кратко и сухо: «QRZ, QRZ — повторите. Добавлю, что в режиме однополосной модуляции голоса детей и девушек в эфире звучат как голоса ангелов. Слушаешь эфир, и хочется сказать: «Ангел, говори, говори». Изменилась физика природы, раньше были такие снежные бури, что засыпало дома по крыши, в шуме порывом ветра за дверью или окнами можно было слышать плач ребенка или разговор ангелов, или пишут, что в ветер можно слышать голоса мертвых на кладбищах, такая информация идет с древних времен.finmarket.ru
[8] Фраза «Производительность как средняя температура по больнице» была произнесена президентом Владимиром Путиным на расширенном заседании президиума Госсовета России, посвящённом реализации национальных целей и стратегических задач развития России до 2024 года.
[9] Ретроспектива (от лат. retro «обратно, назад» + spectare «смотреть, созерцать») — взгляд в прошлое, анализ и осмысление событий, явлений с точки зрения прошлого. Во времени занятость человека оперативным трудом составляет 20%. Если считать забытье прошлого человеком 5% в год, то должно пройти 15 лет, чтобы она достигла 65%.
- Тимощук, Н. Д.. Пространственная теория производительности труда о взаимодействии человека с миром вещей и событий. [Текст] / Тимощук Н. Д. — Владикавказ : ООО НПКП "МАВР", 2010. — 72, [1] с.: ил., табл. 20 см.; ISBN 978-5-901912-44-7.
- Пространственная теория производительности (новый Рубикон ―прыжок планеты Земля сквозь Солнце). /Тимощук Н.Д. Наука и современность. 2012. № 16-2. С. 86-100.
- Пространственная теория производительности о взаимодействии человека с миром вещей и событий (Философия бегущей собаки против философов времени), / Тимощук Н.Д. Сборник польско - русский «Nauka I Utworzenie ХХІ Stulecia: Teoria, Praktyka, Innowacje».2013, С.68-92.
- Пространственная теория производительности труда о взаимодействии человека с миром вещей и событий (Матрица К.Маркса и ее виды производства). Тимощук Н.Д. Сборник научных статей по материалам V Международной научно-практической конференции. Уфа, 2021. С. 63-79.
- Пространственная теория производительности: новая классификация видов производства по техническому уровню труда, их экономическая их физиологическая оценка. Утро Венеры. / Тимощук Н.Д. Сборник научных статей по материалам V Международной научно-практической конференции. Уфа, 2021.
- Пространственная теория производительности. Ветры и реки Космоса.Тимощук Н.Д. Международной научно-практической конференции. Москва, 2022. С. 120-184.
- Пространственная теория производительности. Ветры и реки Космоса. Тимощук Н.Д. В сборнике: PROBLEMS AND PROSPECTS IN THE INTERNATIONAL TRANSFER OF INNOVATIVE TECHNOLOGIES. Collection of articles based on the results of International scientific and practical conference. Sterlitamak, 2022. С. 79-110.
- Пространственная теория производительности: рассматривается тяжесть труда, 15 глава Капитала Маркса, принципы производительности Эмерсона и Ленина. ОНЗРС — красная линия производительности, из всех факторов работает только производительная сила труда. Тимощук Н.Д. Сборник научных статей по материалам VIII Международной научно-практической конференции. Уфа, 2022 с.
- Пространственная теория производительности: почему в коллективе работать легче. Тимощук Н.Д. В сборнике: Инновационные научные исследования в современном мире. Сборник научных статей по материалам XIV Международной научно-практической конференции. Уфа, 2024. С. 68-84.
- Пространственная теория производительности: почему в коллективе работать легче. Тимощук Н.Д. Сборник научных статей по материалам XIV Международной научно-практической конференции. Уфа, 2024. С. 122
- Пространственная теория производительности: как перезагрузить экономику в области производительности труда. Тимощук Н.Д. В сборнике: Инновации в науке и практике. Сборник трудов по материалам XVIII Всероссийского конкурса научно-исследовательских работ. Уфа, 2024. С. 34-57.
- Пространственная теория производительности: перезагрузка экономики России, как переход с показателя сменная производительность на оперативную. Тимощук Н.Д. Международный научный журнал. Научные высказывания. 2024. № 15 (62), с. 40-51.
- Пространственная теория производительности, какую для экономики России выбрать производительность: сменную или оперативную.Тимощук Н.Д. В сборнике: Инноватика в современном мире: опыт, проблемы и перспективы развития. сборник научных статей по материалам XVI Международной научно-практической конференции. Уфа, 2024. С. 171-187.
- Пространственная теория производительности: просвещенному веку ― просвещенный труд. Тимощук Н.Д. В сборнике: Актуальные проблемы науки и техники. Сборник трудов по материалам XXI Международного конкурса научно-исследовательских работ. Уфа, 2025. С. 22-38.
- Пространственная теория производительности: перезагрузка экономики России, как переход с показателя сменная производительность на оперативную. Тимощук Н.Д. Международный научный журнал. Научные высказывания. 2024. № 15 (62). С. 40-51.
- Пространственная теория производительности: Просвещенный век рождает просвещенный труд. Тимощук Н.Д. Международный научный журнал. Научные высказывания № 8 (76), май 2025.



